中国邮政储蓄银行
查看: 105711|回复: 54

[问政] 真实声音:97%的群众认为汕尾物价高到没法活了,咋回事?

  [复制链接]
发表于 2015-9-6 14:50:43 | 显示全部楼层 |阅读模式
IMG_20150906_150104.jpg

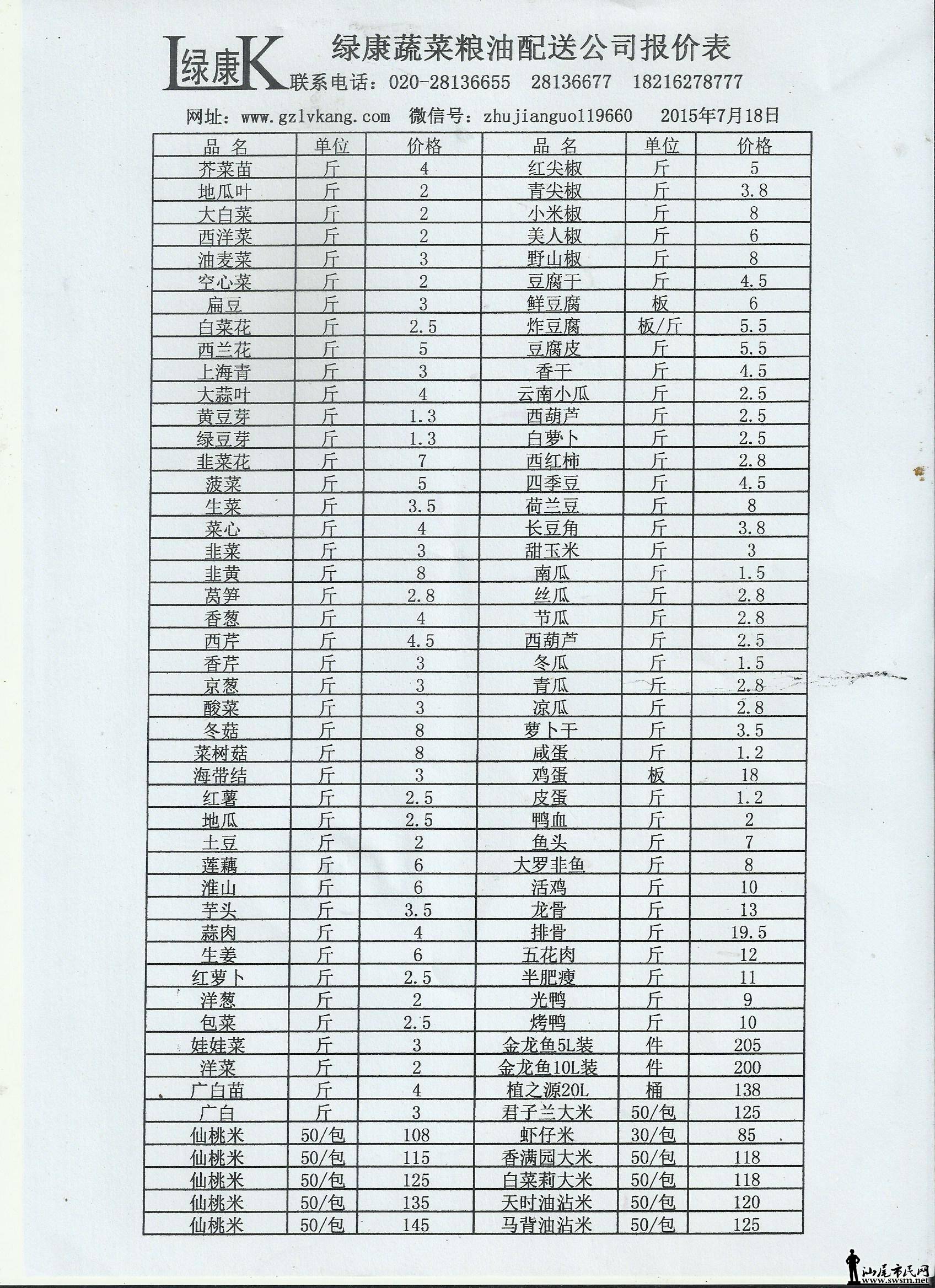
民生问题,长期以来是汕尾网友们最热议的话题,众网友在汕尾市民网热烈讨论:汕尾工资天下奇低物价却天下奇高的奇怪景象。因此,今年四月份开始,本网站组织自掏腰包花大量的人力、物力,财力,在全省范围内对各地市的物价进行最底层的真实调查。不调查不知道,一调查吓一跳:煤气每瓶比周边地区贵40元左右,新米每斤贵一元左右,排骨一市斤卖到28元左右,活在海边吃个新鲜海鱼,便宜的一斤30元左右,好点的50-80元,贝、虾、螃蟹价格更贵到离谱……与粤东西北地区比物价普遍偏高三分之一以上。一百块买不了一餐晚饭菜,一千块做不了两个“人情事务”吃贵、用贵、出行贵,群众总感叹钱越来越“无力”。

汕尾市民网还用微信平台做了一期问卷调查,居然有97%的群众认为汕尾物价很高,高到没法活了。为什么汕尾市民都不能接受目前的物价现状?按普通群众每月两三千元收入计算,需要三至四个劳动力同时赚钱,才能撑起一头家,现在都是一家几口的小家庭,难道要十岁小孩和八十岁老人都去务工才能过日子吗?所以多数群众感叹真的没法活了也在情在理!

新书记、新市长都是来自大都市,但只要你微服私访一下汕尾地区各市场,比较汕尾物价,你会发现这里的物价与广州、深圳物价比较没有便宜只有更高,这是为啥?有人说是有关部门不作为任物价飞涨,有人说是垄断式的经营方式造就,还有人说是不良商家联合拱抬价格……物价高收入低,百要活下来,社会一定存在不稳定的因素。希望领导对我市各地物价进行地毯式的调查,摸清真实情况从民生出发,来一个市场物价反垄断反腐败行动,实实在在把昂贵、不合理的物价降下来,提高群众的生活质量,增加人民的幸福指数。


楼主热帖
[三唯论点] 追光赤子心,许国拓荒魂 —— 彭洁教授携《彭
[城事报料] 海丰东维亚集团推百万——助学子逐梦大学
[三唯论点] 汕尾没有纳入深圳都市圈,并不是被踢出“深圳
[三唯论点] 关心汕尾青年,加快汕尾发展
[三唯论点] 过一个平安文明祥和的清明节
[三唯论点] 聚精会神干工作

发表于 2015-9-6 14:54:34 手机用户 | 显示全部楼层
点击进入微信
物价啊物价
 楼主| 发表于 2015-9-6 15:00:06 | 显示全部楼层
新浪官方微博

如此昂贵,叫汕尾下层人民怎样过活呢
发表于 2015-9-6 15:35:18 | 显示全部楼层
过年过节一个冬节鸽一块钱一个。
发表于 2015-9-6 16:28:53 | 显示全部楼层
提示: 该帖被管理员或版主屏蔽
发表于 2015-9-6 18:19:18 | 显示全部楼层
现在的楼价动不动就6、7-80万的,而且还是毛坯,其他行业不卖贵点怎么行。

发表于 2015-9-6 19:25:24 | 显示全部楼层
发表于 2015-9-6 20:28:38 | 显示全部楼层
好凯西 发表于 2015-9-6 15:35
过年过节一个冬节鸽一块钱一个。

现在就一元一个了!!过年三元一个!!
发表于 2015-9-6 21:08:03 | 显示全部楼层
小小人物 发表于 2015-9-6 20:28
现在就一元一个了!!过年三元一个!!

汕尾有錢人太多,如果沒有人買那會貴,個個出去充大頭鬼,怪誰,看看茶樓那間不滿,看看那地方沒人賭博,看看那休閒店不滿,還要開版說貴
发表于 2015-9-6 21:14:34 | 显示全部楼层
大话汕尾 发表于 2015-9-6 15:00
如此昂贵,叫汕尾下层人民怎样过活呢

沒有昂貴,就不能吸引消費者,汕尾有錢人太多,個個都有幾百萬,住高樓,開好車,飲早茶,食燒夜,洗香腳,按摩,做大爺,擺資格,有錢剪幾百元個頭,溝靚女飲洋酒,間間吧做大爺,汕尾有錢多的是,是你沒有錢
发表于 2015-9-6 22:20:06 | 显示全部楼层
慧智 发表于 2015-9-6 21:14
沒有昂貴,就不能吸引消費者,汕尾有錢人太多,個個都有幾百萬,住高樓,開好車,飲早茶,食燒夜,洗香腳,按摩,做 ...

说得你好有钱一样   好胖哦
发表于 2015-9-6 22:22:04 | 显示全部楼层
汕尾除了房子比广州深圳便宜  一般家庭消费广州深圳压根就不用跟汕尾比  
Scan1411.jpg
发表于 2015-9-6 22:29:42 | 显示全部楼层
海丰煤气真tmd贵
发表于 2015-9-7 00:38:46 | 显示全部楼层
汕尾的物价和汕尾市民收入完全不挂钩~一百元,三四个人的家庭,估计一餐普普通通菜式就没了。。有时候外地人会问我说你们汕尾的海鲜是不是特别便宜啊,,我都不敢说。,没有生在海边吃最鲜最性价比的海鲜的自豪感~
发表于 2015-9-7 05:27:26 手机用户 | 显示全部楼层
贵贵贵,还是贵
发表于 2015-9-7 09:18:07 | 显示全部楼层
提示: 该帖被管理员或版主屏蔽
发表于 2015-9-7 09:18:35 | 显示全部楼层
听海 发表于 2015-9-6 18:19
现在的楼价动不动就6、7-80万的,而且还是毛坯,其他行业不卖贵点怎么行。

而工资就那么一两千或者二三千
发表于 2015-9-7 09:20:05 | 显示全部楼层
à手↘心╣ 发表于 2015-9-6 22:22
汕尾除了房子比广州深圳便宜  一般家庭消费广州深圳压根就不用跟汕尾比

用数字说明问题,虽然枯燥,但最有说服力
高级模式
B Color Image Link Quote Code Smilies |上传

本版积分规则

快速回复 返回顶部 返回列表